Onderwerpen:
- Inleiding
- Lichamelijke weerstand
- NEN 9140 (werken aan voertuigen)
– Personen en aanwijzingen
– Procedures
– Onder spanning werken
– Vlamboog - NEN 3140 (werken aan elektrische installaties)
– Personen en aanwijzingen
– Hoogspanning (HV) en zeer lage spanningen (ELV)
– Werken aan laadinrichtingen en buitenomstandigheden
– Samenhang tussen NEN 3140 en NEN 9140 - NEN 1010 (het aanleggen van installaties)
Inleiding:
Bij werkzaamheden aan elektrische voertuigen en laadinrichtingen staat de veiligheid voorop. Elektrische systemen kunnen gevaar opleveren, zoals het risico op elektrische schokken of brand. Dit geldt met name tijdens onderhoud, reparaties en storingsdiagnose. Niet alle gevaren zijn direct zichtbaar; ook een systeem dat ogenschijnlijk spanningsloos is, kan nog restenergie bevatten doordat bijvoorbeeld de condensatoren nog niet volledig zijn ontladen.
Om deze risico’s tijdens het werken aan elektrische voertuigen te beheersen zijn in Nederland NEN-normeringen vastgesteld. Deze normeringen geven een praktische invulling aan het Arbeidsomstandighedenbesluit en beschrijven hoe veilig gewerkt moet worden aan elektrische systemen. Ze leggen vast welke werkwijzen gevolgd moeten worden en welke maatregelen nodig zijn om risico’s te beperken.
Binnen de autotechniek wordt onderscheid gemaakt tussen:
- werkzaamheden aan het voertuig en
- werkzaamheden aan elektrische installaties.

In de dagelijkse praktijk overlappen deze gebieden regelmatig. Bij een storing in het laadproces is bijvoorbeeld niet meteen duidelijk of de oorzaak in het voertuig, de laadinrichting of de laadkabel ligt. Omdat voor deze onderdelen verschillende normeringen gelden, moet een diagnosetechnicus kunnen bepalen welke norm van toepassing is om de werkzaamheden veilig en volgens de juiste procedures uit te voeren.

Op deze pagina wordt inzicht gegeven in de certificeringen die nodig zijn bij het werken aan e-voertuigen en laadinrichtingen. De informatie is geenszins bedoeld als vervanging van officiële documentatie van autofabrikanten, opleidingsdocumentatie waarvoor certificering kan worden behaald, of de officiële normen en publicaties van de NEN. Heeft u interesse in een NEN-certificering om aan e-voertuigen of laadsystemen te mogen werken? Dan kan ik u de opleidingen van FOM (Future Of Mobility) aanbevelen!
Lichamelijke weerstand:
Lichamelijke weerstand is de weerstand die het lichaam biedt tegen elektrische stroom. De weerstand wordt uitgedrukt in ohm. De afbeelding hiernaast weergeeft de opbouw van de weerstanden in de ledematen van een menselijk lichaam. Vanuit de basis elektrotechniek weten we dat als we de plus en min van een spanningsbron met een circuit verbinden waarin weerstanden zijn opgenomen, dat er stroom gaat lopen. Dit is bij het menselijk lichaam ook het geval als er componenten van een elektrisch systeem worden aangeraakt waar stroom doorheen loopt.
- Bij lage spanningen biedt de weerstand van de huid voldoende isolatie om geen strroom door het lichaam te laten lopen. Daarom kan een monteur probleemloos met beide handen tegelijk de accupolen van een 12 volt (of tweemaal 12 volt in serie bij een vrachtwagen) aanraken;
- Bij hoge spanningen kan de huidweerstand sterk afnemen door inslag of verbranding. Het spierweefsel en het bloed zijn goede geleiders. De lichaamsweerstanden bepalen hoeveel stroom er gaat lopen bij een bepaalde toegevoerde spanning.
De stroomsterkte door het lichaam kan van merkbaar tot levensgevaarlijk zijn. Het menselijk lichaam is gevoeliger voor wisselspanning dan voor gelijkspanning. Hieronder worden de stroomsterktes in AC en DC met de effecten weergegeven.

Bij AC kan al relatief lage stroom hartritmestoornissen veroorzaken. Daarom is AC extra gevaarlijk rond netfrequentie (50 Hz). Bij DC treedt minder snel een hartritmestoornis op dan bij AC, maar hoge stromen veroorzaken wel ernstige verbranding en hartstilstand. Werkzaamheden aan hoogvoltagesystemen van elektrische voertuigen vinden voornamelijk plaats aan het DC-gedeelte, omdat de AC pas wordt gevormd tussen de inverter en de elektromotor in bedrijfstoestand. Op het moment dat het HV-systeem spanningsvrij wordt geschakeld, er componenten worden vervangen of modules in het batterijpakket worden gedemonteerd, wordt er uitsluitend aan DC (gelijkspanning) gewerkt.
Gevaar in de praktijk 1:
Op het moment dat een technisch specialist een batterijpakket heeft geopend en de metalen connectoren tussen de modules aanraakt waar een spanning van 400 volt op staat, hangt de stroomsterkte af van de weerstanden in het lichaam. Hoe gevaarlijk dat is, hangt o.a. ook af van hoe lang de aanraking plaatsvindt. Later meer daarover.
Om de stroomsterkte door het lichaam te bepalen, berekenen we eerst de vervangingsweerstand van de serieschakeling:

De stroom die door het lichaam loopt berekenen we met de wet van Ohm:
Deze stroomsterkte is direct levensgevaarlijk.
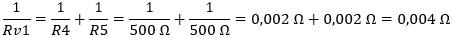
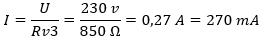
Gevaar in de praktijk 2:
Een elektromonteur raakt met één hand een leiding aan waar 230v (AC) op staat. Via de voeten wordt er aarde gemaakt. We berekenen de vervangingsweerstand (Rv1) van de benen (parallel), vervolgens de serieschakeling van de arm en romp (Rv2) en tellen deze vervangingsweerstanden bij elkaar op (Rv3):
De stroom die door het lichaam loopt berekenen we met de wet van Ohm:
Deze stroomsterkte is 0,2 seconden te verdragen voordat het levensgevaarlijk wordt. De tijd speelt dus een grote factor in hoe gevaarlijk een stroom is. Dit wordt in de volgende paragraaf uitgelegd.
De stroomsterkte en de tijdsduur waarop de stroom loopt zijn de grootste gevaren. De onderstaande grafieken tonen vier gekleurde gebieden waarin het gevaar van stroomsterkte ten opzichte van de tijd wordt weergegeven.
- Groen: uitwendig niet waarneembaar;
- Geel: uitwendig waarneembaar, spieren verkrampen;
- Oranje: spierverkramping, moeilijk ademen, zelfstandig loslaten is niet meer mogelijk;
- Rood: verbranding, ademstilstand, hartstilstand, dus dit gebied is levensgevaarlijk.
Gevolgen van wisselstroom:
- Onder de 0,5 mA wordt door een mens nog niets waargenomen;
- 10 mA kan de mens ongeveer 2 seconden verdragen voordat de spieren beginnen te verkrampen, en bij 50 mA is dit bij ongeveer 100 ms het geval;
- 500 mA is al direct levensgevaarlijk.
Gevolgen van gelijkstroom:
- Onder de 2 mA wordt door een mens nog niets waargenomen;
- 80 mA kan een mens ongeveer 100 ms verdragen voordat de spieren beginnen te verkrampen;
- 500 mA is al direct levensgevaarlijk.
NEN 9140 (werken aan voertuigen):
Voor elektrische voertuigen en mobiele elektrische werktuigen geldt de norm NEN 9140. Deze norm is van toepassing op werkzaamheden aan hoogspanningssystemen in voertuigen en richt zich op voertuiggebonden componenten zoals de HV-batterij, de inverter, de elektromotor, de on-board charger en de airconditioningcompressor. Monteurs en diagnosetechnici die aan HV-systemen werken, dienen aantoonbaar te zijn opgeleid en bevoegd middels certificering.
Als een autobedrijf geen werkzaamheden aan elektrische voertuigen verricht, hoeven zij geen aanvullende certificering te hebben.
De NEN 9140:2024 is van toepassing op e-voertuigen in spanningsklasse B. Dit betreft systemen met een:
- wisselspanning van 30 V AC tot en met 1000 V AC;
- gelijkspanning van 60 V DC tot en met 1500 V DC.
De norm beschrijft hoe deze risico’s bij werkzaamheden aan het voertuig moeten worden beheerst. Daarbij gaat het onder andere om het veilig spanningsvrij maken van het voertuig, het controleren of het HV-systeem daadwerkelijk spanningsloos is en het gebruik van de juiste persoonlijke beschermingsmiddelen. Daarnaast wordt vastgelegd welk kennis- en ervaringsniveau van de monteur vereist is om deze werkzaamheden zelfstandig en verantwoord uit te voeren.
Zolang de werkzaamheden direct aan het voertuig of het voertuigsysteem plaatsvinden, zoals bij diagnose aan het HV-systeem, het spanningsvrij schakelen van het voertuig of het uitvoeren van metingen aan voertuigcomponenten, is de NEN 9140 van toepassing. In de afbeelding hiernaast is de service plug van een Toyote te zien waarmee het systeem spanningsvrij kan worden geschakeld.

Bij storingen in het laadproces ligt de oorzaak echter niet altijd in het voertuig zelf. Het laadproces bestaat uit een samenhangend geheel van het voertuig, de laadinrichting en de laadkabel. Voor een juiste diagnose moeten deze onderdelen gezamenlijk worden beoordeeld, omdat een defect in één van de onderdelen het functioneren van het hele systeem kan beïnvloeden. De laadinrichting en de laadkabel maken geen onderdeel uit van het voertuig en vallen daarom buiten het toepassingsgebied van de NEN 9140.
Deze onderdelen worden beschouwd als elektrische installaties, waarvoor de norm NEN 3140 geldt.
Deze norm is van toepassing op elektrische installaties en elektrisch gereedschap met een wisselspanning tot en met 1000 volt AC en een gelijkspanning tot en met 1500 volt DC.
Bij laadproblemen waarbij metingen worden uitgevoerd aan de elektrische auto, de laadkabel en de wallbox, moet volgens de NEN 3140 worden gewerkt. Voor een diagnosetechnicus is het daarom essentieel om tijdens storingsdiagnose vast te stellen welke norm van toepassing is, omdat de juiste normkeuze bepalend is voor een veilige en verantwoorde uitvoering van de werkzaamheden.

Personen en aanwijzingen:
De norm NEN 9140 stelt eisen aan personen die werkzaamheden uitvoeren aan of in de nabijheid van elektrische voertuigen. Iedereen die met e-voertuigen werkt, moet voldoende kennis hebben van de aanwezige veiligheidsrisico’s, de geldende veiligheidsregels, de bedrijfsvoorschriften, relevante fabrieksgegevens en het juiste gebruik van persoonlijke beschermingsmiddelen. Deze kennis is noodzakelijk om werkzaamheden veilig en verantwoord uit te kunnen voeren.
Binnen de NEN 9140 worden personen op basis van hun kennis, inzicht, ervaring en competenties ingedeeld in verschillende categorieën. Om te voldoen aan de Arbowet moeten deze personen schriftelijk worden aangewezen door de verantwoordelijke binnen het bedrijf. Het gaat hierbij om de:
- voldoende onderricht persoon (VOP): mag uitsluitend werkzaamheden uitvoeren onder duidelijke instructie en voldoende toezicht.
- vakbekwaam persoon (VP): beschikt over voldoende opleiding en ervaring om zelfstandig werkzaamheden aan HV-systemen uit te voeren;
- werkverantwoordelijke (WV): draagt de verantwoordelijkheid voor de veilige organisatie en uitvoering van werkzaamheden aan elektrische voertuigen.
Ook wordt in de norm de “leek” genoemd, waarbij wordt omschreven dat de leek geen werkzaamheden aan EV’s mag verrichten.
Alleen schriftelijk aangewezen personen mogen werkzaamheden uitvoeren aan elektrische voertuigen en uitsluitend binnen hun bevoegdheden. Personen zonder technische opleiding, zoals verkopers of receptionisten, worden aangemerkt als leek en mogen geen werkzaamheden aan elektrische voertuigen uitvoeren. Voor onderhoudswerkzaamheden moet een autotechnicus minimaal zijn aangewezen als ev-voldoende onderricht persoon. Werkzaamheden aan hoogspanningscomponenten, zoals reparaties aan een HV-batterij, mogen alleen worden uitgevoerd door een ev-vakbekwaam persoon.
Bij de aanwijzing wordt onderscheid gemaakt tussen opleidingsniveau en deskundigheid.
- Het opleidingsniveau bepaalt of iemand in aanmerking kan komen voor een bepaalde categorie.
- Deskundigheid wordt opgebouwd door opleiding, training en praktijkervaring.

Een autotechnicus met opleidingsniveau 2 kan daarom, ook bij ruime ervaring en aanvullende cursussen, niet worden aangewezen als ev-vakbekwaam persoon maar wel als ev-voldoende onderricht persoon. Een autotechnicus met mbo-niveau 3 kan worden aangewezen als ev-vakbekwaam persoon, mits hij of zij aantoonbaar is opgeleid voor werkzaamheden aan elektrische voertuigen, over voldoende praktijkervaring beschikt en hiervoor schriftelijk is aangewezen door de werkgever. Een diagnosetechnicus op mbo-niveau 4 voldoet eveneens aan deze voorwaarden en is door zijn bredere technische en diagnostische kennis in de praktijk het meest geschikt om als ev-vakbekwaam persoon te worden ingezet of door te groeien naar ev-werkverantwoordelijke.
Procedures:
Veilig werken aan elektrische voertuigen vereist vaste en goed doordachte werkprocedures. Deze procedures zorgen ervoor dat elektrotechnische risico’s worden beheerst en dat werkzaamheden op een voorspelbare en veilige manier worden uitgevoerd. De NEN 9140 beschrijft deze werkprocedures als een logisch geheel van stappen, waarbij steeds wordt uitgegaan van risicobeoordeling, duidelijke verantwoordelijkheden en gecontroleerde uitvoering.
Voorafgaand aan iedere werkzaamheid moet worden vastgesteld welke risico’s aanwezig zijn. Daarbij wordt gekeken naar de toestand van het voertuig (schade?), de aard van de werkzaamheden en de omgeving waarin wordt gewerkt. Op basis hiervan wordt bepaald welke werkmethode wordt toegepast: spanningsloos werken, werken op veilige afstand of, in uitzonderlijke gevallen, onder spanning werken. Spanningsloos werken heeft altijd de voorkeur, omdat hiermee het elektrische gevaar zo veel mogelijk wordt weggenomen.
Bij het spanningsloos werken aan het HV-systeem wordt altijd een vaste volgorde aangehouden. Deze volgorde is bedoeld om risico’s op elektrische schokken en onbedoelde inschakeling te voorkomen.
- Het voertuig wordt beveiligd tegen onbedoelde beweging door de parkeerrem in te schakelen en de sleutel of keyless-zender te verwijderen. Het voertuig mag niet kunnen wegrijden of onverwacht worden geactiveerd;
- De voedingsbron wordt fysiek van het HV-systeem gescheiden. Dit kan door het verwijderen van de serviceplug, waarmee twee delen van het batterijpakket van elkaar worden losgekoppeld. Ook kan de stekker van de interlock worden losgenomen, zodat het systeem niet opnieuw kan inschakelen. Om te voorkomen dat iemand anders het voertuig tijdens de werkzaamheden activeert, kan een hangslot worden geplaatst;
- Vervolgens wordt gecontroleerd of het HV-systeem daadwerkelijk spanningsloos is. Dit gebeurt met een geschikt meetinstrument, zoals een Duspol. Zolang deze meting niet is uitgevoerd, mag het systeem niet als veilig worden beschouwd en mag er niet aan het HV-systeem worden gewerkt.
- Na afronding van de werkzaamheden wordt het voertuig weer volgens een vaste procedure in bedrijf gesteld. Daarbij wordt gecontroleerd of alle beveiligingen correct zijn teruggeplaatst en of het voertuig veilig kan worden gebruikt.
Om te mogen werken aan de hoogvoltsystemen zijn specifieke persoonlijke beschermings- en veiligheidsmiddelen voorgeschreven:
- Veiligheidshelm met gelaatsscherm (bescherming tegen elektrische en mechanische risico’s);
- Isolerende handschoenen (voor werken aan of nabij hoogspanningsdelen);
- Beschermende werkkleding, zoals een isolerende jas en overall met reflecterende delen;
- Veiligheidsschoenen of isolerende overschoenen (bescherming tegen elektrische doorslag en mechanisch letsel);
- Isolerende mat (voor het veilig staan bij werkzaamheden aan elektrische installaties);
- Spanningsmeter (bijvoorbeeld een Duspol of vergelijkbaar tweepolig meetinstrument);
- Geïsoleerd gereedschap (zoals tangen en schroevendraaiers geschikt voor HV-werk);
- Afzetmateriaal, zoals pionnen of afzetpaaltjes (om de werkzone te markeren);
- Waarschuwingsborden en pictogrammen (hoogspanning, verbodsborden);
- Lockout-tagout middelen, zoals sloten, tags en een lockout-tasje (voor het veiligstellen tegen opnieuw inschakelen);
- EHBO- en interventiekit voor elektrische voertuigen.

Werkplekken waar elektrische gevaren kunnen optreden, moeten duidelijk zijn gemarkeerd en afgebakend. Alleen bevoegde personen mogen deze zones betreden. Niet-betrokken personen moeten te allen tijde op afstand blijven om het risico op ongevallen te voorkomen. Gereedschappen, meetinstrumenten en persoonlijke beschermingsmiddelen moeten geschikt zijn voor het werken aan HV-systemen en regelmatig worden gecontroleerd op goede staat.
Tot slot is goede communicatie essentieel. De ev-werkverantwoordelijke moet ervoor zorgen dat alle betrokkenen weten welke werkzaamheden worden uitgevoerd, welke risico’s aanwezig zijn en welke veiligheidsmaatregelen gelden. Wanneer tijdens het werk blijkt dat de situatie onveilig is of afwijkt van de verwachting, moeten de werkzaamheden direct worden onderbroken. Hervatten mag pas nadat nieuwe maatregelen zijn vastgesteld en uitgevoerd.

In de onderstaande afbeelding wordt een module met cellen uit een batterijpakket van een EV gedemonteerd. Er is al een groot deel van de procedure gevolgd, waarbij het voertuig is geblokkeerd, spanningsvrijgemaakt, de omgeving is afgezet met linten en pionnen, persoonlijke beschermingsmiddelen zijn aangebracht.
Na het verwijderen van de deksel zijn de modules van elkaar losgekoppeld. Er kan geen stroom meer lopenvan module naar module. Op deze manier is er voor gezorgd dat er spanningsloos wordt gewerkt. Daarna kunnen de modules worden verwijderd. Dat moment is in de afbeelding te zien.

In sommige situaties is spanningsloos werken niet mogelijk, bijvoorbeeld bij specifieke metingen of functionele controles. Werken onder spanning is dan alleen toegestaan onder strikte voorwaarden en mag uitsluitend worden uitgevoerd door daarvoor bevoegde en voldoende deskundige personen. Hierbij gelden aanvullende eisen aan opleiding, werkmethoden, gereedschappen en persoonlijke beschermingsmiddelen. Ook moet de werkomgeving zodanig zijn ingericht dat de risico’s tot een minimum worden beperkt.
Onder spanning werken:
Onder spanning werken aan elektrische voertuigen is binnen de NEN 9140 alleen onder specifieke gevallen toegestaan wanneer spanningsloos werken technisch niet mogelijk is, bijvoorbeeld bij bepaalde metingen of functionele controles. Omdat hierbij verhoogde risico’s aanwezig zijn, geldt onder spanning werken als een uitzonderlijke werkwijze die uitsluitend onder strikte voorwaarden mag worden toegepast.
Deze werkzaamheden mogen alleen worden uitgevoerd door bevoegde en deskundige personen, zoals een ev-vakbekwaam persoon of een ev-werkverantwoordelijke. Vooraf moet een risicoanalyse worden uitgevoerd waarin onder andere de aard van de spanning, het aanrakingsgevaar en het risico op vlamboogvorming worden beoordeeld. Niet-aangewezen personen mogen alleen onder direct toezicht aanwezig zijn.
Onder spanning werken mag nooit routine worden. Spanningsloos werken heeft altijd de voorkeur en onder spanning werken is alleen toegestaan wanneer dit aantoonbaar noodzakelijk is en alle veiligheidsmaatregelen zijn getroffen. Hiermee wordt het risico op elektrische ongevallen bij werkzaamheden aan elektrische voertuigen zo veel mogelijk beperkt.
Vlamboog:
Bij HV-systemen kan een vlamboog ontstaan wanneer een kortsluiting wordt gemaakt met gereedschap, isolatie beschadigd is, of wanneer er onder spanning wordt gewerkt en geleiders elkaar raken. Een vlamboog is een elektrische ontlading door de lucht tussen twee geleiders met een spanningsverschil. Normaal is lucht een isolator, maar wanneer de elektrische veldsterkte groot genoeg is, wordt de lucht geïoniseerd. Daardoor wordt de lucht tijdelijk geleidend en kan er stroom doorheen lopen. Door deze zeer hoge stroomsterkte ontstaat een lichtflits en een zeer hoge temperatuur, wat gevaarlijk kan zijn voor de gezondheid.
Op de pagina Vlamboog wordt hier dieper op ingegaan en worden berekeningen getoond waarmee de incidentenergie kan worden bepaald, zodat de juiste persoonlijke beschermingsmaatregelen kunnen worden gekozen.
NEN 3140 (werken aan elektrische installaties):
De norm NEN 3140 heeft betrekking op de veilige bedrijfsvoering van elektrische installaties.
Onder bedrijfsvoering wordt verstaan alles wat met een elektrische installatie gebeurt nadat deze is aangelegd en in gebruik is genomen. Dit omvat onder andere onderhoud, inspecties, metingen, reparaties, het uitvoeren van wijzigingen en het vastleggen van werkzaamheden en controles.
Voor laadinrichtingen betekent dit dat werkzaamheden zoals meten aan elektrische delen, het inspecteren van laadkabels, het vervangen van defecte componenten en het testen van de installatie na herstel onder de NEN 3140 vallen. Ook installaties die bij oplevering veilig waren, kunnen door slijtage, beschadiging of verkeerd gebruik alsnog onveilige situaties opleveren. Daarom schrijft de NEN 3140 voor dat werkzaamheden altijd volgens vastgestelde procedures en opvolgende inspecties van maximaal vijf jaar moeten worden uitgevoerd.
Het risico op aanraken van een component waarmee een gevaarlijk hoge spanning, kortsluiting of vlamboog ontstaat, is bij werkzaamheden aan elektrische installaties hoog. Het is daarom niet toegestaan om werkzaamheden onder spanning aan, of in de buurt van een hoogspanningssysteem te verrichten, behalve als er een aantoonbare noodzaak of een opdracht aan de VP is gegeven.

Personen en aanwijzingen:
Binnen de NEN 3140 mogen werkzaamheden aan elektrische installaties alleen worden uitgevoerd door aangewezen personen. De werkgever is verantwoordelijk voor deze aanwijzing en legt schriftelijk vast welke taken en verantwoordelijkheden een medewerker heeft. Indien geen installatieverantwoordelijke is aangewezen, is de werkgever automatisch installatieverantwoordelijke.
De installatieverantwoordelijke (IV) is eindverantwoordelijk voor de veiligheid van de elektrische installatie. Hij of zij bepaalt onder welke voorwaarden aan de installatie mag worden gewerkt en stelt de benodigde veiligheidsmaatregelen vast. De werkverantwoordelijke (WV) is verantwoordelijk voor de veilige uitvoering van specifieke werkzaamheden en ziet erop toe dat de afgesproken procedures worden gevolgd. De vakbekwaam persoon (VP) beschikt over voldoende kennis en ervaring om zelfstandig werkzaamheden aan elektrische installaties uit te voeren. Personen zonder aanwijzing mogen geen werkzaamheden aan elektrische installaties uitvoeren.
Hoogspanning (HV) en zeer lage spanning (ELV):
De NEN 3140 is van toepassing op elektrische installaties met een wisselspanning tot en met 1000 volt AC en een gelijkspanning tot en met 1500 volt DC. Voor zeer lage spanning wordt gesproken van extra lage spanning (ELV). Hierbij gaat het om spanningen die onder normale omstandigheden geen gevaar opleveren, zoals 12 volt en 24 volt systemen.
Hoewel werkzaamheden aan ELV-circuits minder risico met zich meebrengen, mogen ook deze werkzaamheden niet onbeperkt door iedereen worden uitgevoerd. Studenten en minderjarigen mogen alleen werkzaamheden uitvoeren aan elektrische installaties wanneer dit past binnen hun opleidingsniveau en onder voldoende toezicht. Werkzaamheden aan hoogspanningsdelen of aan delen die indirect met hogere spanningen in verbinding staan, zijn voor hen niet toegestaan.
Werken aan laadinrichtingen en buitenomstandigheden:
Bij werkzaamheden aan laadinrichtingen moet rekening worden gehouden met de werkomgeving. Wanneer aan laadinrichtingen in de buitenlucht wordt gewerkt, mogen werkzaamheden niet worden uitgevoerd tijdens onweer of bij omstandigheden waarbij de veiligheid niet kan worden gegarandeerd. Bij regen of vochtige omstandigheden moeten aanvullende maatregelen worden getroffen om het risico op elektrische schokken te beperken. Indien dit niet mogelijk is, moeten de werkzaamheden worden uitgesteld.
Gereedschappen, meetinstrumenten en persoonlijke beschermingsmiddelen moeten geschikt zijn voor de werkzaamheden en in goede staat verkeren. De werkplek moet zodanig worden ingericht dat onbevoegden geen toegang hebben tot de gevarenzone.
Samenhang tussen NEN 3140 en NEN 9140:
Bij laadproblemen waarbij metingen worden uitgevoerd aan de elektrische auto, de laadkabel en de wallbox, wordt gewerkt aan elektrische installaties. In deze situaties is de NEN 3140 van toepassing. Voor een diagnosetechnicus is het daarom essentieel om vooraf vast te stellen of hij werkt aan het voertuig zelf of aan de elektrische installatie. De juiste normkeuze bepaalt welke procedures gevolgd moeten worden en is daarmee bepalend voor een veilige en verantwoorde uitvoering van de werkzaamheden.
NEN 1010 (het aanleggen van installaties):
Voordat een laadinrichting, zoals een openbare laadpaal of een wallbox bij een woning, in gebruik wordt genomen, moet deze op een juiste en veilige manier zijn aangelegd. De eisen hiervoor zijn vastgelegd in de norm NEN 1010. Deze norm beschrijft hoe elektrische installaties moeten worden ontworpen en geïnstalleerd zodat ze veilig functioneren voor gebruikers en de omgeving.
Wanneer een laadinrichting zoals van een publieke laadpaal volgens de NEN 1010 is aangelegd, voldoet de elektrische installatie aan de nationale veiligheidseisen. Voor de laadinrichting als elektrisch product gelden daarnaast internationale normen, zoals de IEC 61851. Deze norm is specifiek gericht op het veilig laden van elektrische voertuigen en de communicatie tussen het voertuig en de laadinrichting. Het onderscheid tussen NEN 1010 en NEN 3140 is hierbij essentieel.
De NEN 1010 richt zich op het ontwerp en de aanleg van de installatie.
Zodra de installatie in gebruik is genomen, is de NEN 3140 van toepassing.
Deze norm beschrijft hoe veilig gewerkt moet worden tijdens gebruik, onderhoud, inspecties en het uitvoeren van aanpassingen. Een laadinrichting die bij oplevering aan alle eisen voldoet, kunnen door dagelijks gebruik, weersinvloeden en mechanische belasting kunnen onderdelen in de loop van de tijd achteruitgaan. Denk hierbij aan beschadigde connectoren, versleten laadkabels of losgeraakte aansluitingen in de installatie.
Om de veiligheid te blijven waarborgen, zijn periodieke inspecties noodzakelijk. Tijdens deze inspecties wordt beoordeeld of de installatie nog veilig gebruikt kan worden en voldoet aan de geldende eisen.
Gerelateerde pagina’s: