Inleiding vlamboog:
Lithium-ion batterijen in elektrische auto’s zijn opgebouwd uit afzonderlijke cellen. Iedere cel heeft een spanning die afhangt van de ladingstoestand. Een volledig geladen cel is ongeveer 4,2 volt en bij een lage laadtoestand ongeveer 3 volt. De cellen zijn met elkaar verbonden in zowel serie (hogere spanning) als parallel (hogere capaciteit). De spanning van een HV-batterijpakket kan hiermee tussen de 200 en 1000 volt bedragen en daardoor kunnen er vlamboogstromen ontstaan van duizenden ampères. Bij het werken aan HV-systemen moet bij het werken onder spanning rekening worden gehouden met de vlamboog.
Bij HV-systemen kan een vlamboog ontstaan wanneer een kortsluiting wordt gemaakt met gereedschap, isolatie beschadigd is, of wanneer er onder spanning wordt gewerkt en geleiders elkaar raken. Een vlamboog is een elektrische ontlading door de lucht tussen twee geleiders met een spanningsverschil. Normaal is lucht een isolator, maar wanneer de elektrische veldsterkte groot genoeg is, wordt de lucht geïoniseerd. Daardoor wordt de lucht tijdelijk geleidend en kan er stroom doorheen lopen. Bij een vlamboog ontstaat:
- Een felle lichtflits;
- Een zeer hoge temperatuur (kan hoger zijn dan 10.000 °C) waarbij de warmte uitstraalt naar de omgeving;
- Verdamping van isolatie en koper;
- Een drukgolf door snelle uitzetting van de verhitte lucht waarbij metaaldeeltjes worden weggeslingerd.

Bij een kortsluiting of vlamboog kan ernstig letsel ontstaan. De ernst van het letsel of de schade hangt af van de systeemspanning, de beschikbare kortsluitstroom, de duur van de vlamboog en de afstand tot de vlamboog.
De onderstaande video toont een experiment waarbij elektrische geleiders door lucht zijn gescheiden, maar waarbij een voldoende hoge bronspanning zorgt dat de luchtspleet zorgt voor een elektrische kortsluiting tussen de geleiders, met een vlamboog tot gevolg.
Bij aanvang van de werkzaamheden moeten bij aanrakingsgevaar of vlambooggevaar voorzorgsmaatregelen worden genomen en beschermingsmiddelen worden gebruikt. Wanneer er bij werkzaamheden aan het HV-systeem een risico bestaat op een vlamboog en niet vooraf duidelijk is hoe groot dat risico is, geldt volgens de NEN 9140 dat er een vlamboogberekening moet worden uitgevoerd als:
- er vanuit de analyse is gebleken dat er vlambooggevaar is waarbij de incidentenergie nog niet bekend is;
- er geen voorliggende beveiliging aanwezig is (in de vorm van een smeltveiligheid of beveiligingsschakelaar);
- de smeltveiligheid meer dan 630 A bedraagt bij een spanning van meer dan 60 volt DC.
De incidentenergie (IE) is de hoeveelheid warmte-energie per oppervlakte-eenheid (cal/cm²) die vrijkomt bij een vlamboog op een bepaalde afstand van het werkpunt. Hoe hoger de incidentenergie, hoe zwaarder de vereiste vlamboogbescherming.
- IE < 1,2 cal/cm²: het is onwaarschijnlijk dat er tweedegraads brandwonen ontstaan bij een vlamboogincident. Er zijn naast de gebruikelijke PBM geen vlambooggeclassificeerde PBM vereist;
- IE 1,2 – 8 cal/cm²: als de incidentenergie niet voldoende kan worden verlaagd, wordt aanbevolen om vlambooggeclassificeerde PBM (zoals een gelaatscherm) te gebruiken en aanvullende veiligheidsprocedures op de werkplek toe te passen;
- IE > 8 cal/cm²: tot ongeveer 8 cal/cm² spreken veel richtlijnen van een “matig” risico. Boven dit niveau neemt de ernst van brandwonden sterk toe, dus is er een dikkere en vaak gesloten bescherming (PBM) nodig.
- Bij een toenemende IE moet te allen tijde worden overwogen om de veiligheidsrisico’s te verlagen, door bijvoorbeeld delen in het batterijpakket te demonteren en daarmee de spanning te verlagen.
Met een vlamboogberekening wordt berekend hoe groot de kortsluitstroom is, hoe lang de vlamboog kan duren en hoeveel incidentenergie er vrijkomt op de werkafstand. Met de uitkomst van de berekening bepaalt de ev-wv of werken onder spanning verantwoord is, welke persoonlijke beschermingsmaatregelen er nodig zijn en of er aanvullende maatregelen nodig zijn.
Vlamboogberekening: berekenen van de incidentenergie (1):
Wanneer werkzaamheden worden uitgevoerd aan een HV-systeem dat onder spanning staat, moet vooraf aan de hand van onderstaande gegevens een vlamboogberekening worden uitgevoerd om het risico en de benodigde beschermingsmaatregelen te bepalen.
| Gegevens: | |
|---|---|
| Capaciteit | 5000 mAh |
| Nominale spanning cel | 3,6 volt |
| Spanning volledig geladen cel | 4,0 volt |
| Inwendige weerstand cel | 0,02 ohm |
| Cellen in serie | 200 cellen |
| Cellen parallel | 20 |
| Serviceplug | Deelt de batterij in tweeën (daarom factor 0,5) |
| Tarc | 2,0 seconden |
| D | 50 cm |
| Symbolen en betekenissen: | |
|---|---|
| Ibf | Botte kortsluitstroom in A |
| Iarc | Vlamboogstroom in A (Iarc = 0,5 * Ibf) |
| IE | Vlamboogenergie op werkafstand in cal/cm^2 |
| Vsys | Systeemspanning in V |
| Tarc | Vlamboogduur in s |
| D | Werkafstand in cm |
In de onderstaande vier stappen wordt de incidentenergie berekend (volgens J. Fontaine en C. McCluer) aan de hand van de bovenstaande gegevens. De Tarc en D zijn gegeven.
1. Bereken de systeemspanning (Vsys) door het aantal seriegeschakelde cellen (Nserie) te vermenigvuldigen met de celspanning (Ucel). Op het moment dat de serviceplug het accupakket in tweeën deelt, vermenigvuldigen we alles met 0,5:

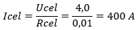
2. Bereken de kortsluitstroom per cel (Icel). De kortsluitstroom per cel is de maximale stroom die één enkele batterijcel kan leveren wanneer de plus- en minpool direct met elkaar worden verbonden:
3. Bereken de botte kortsluitstroom (Ibf). De botte kortsluitstroom is de maximale stroom die kan lopen wanneer de plus en min van een batterij direct met elkaar worden verbonden zonder extra weerstand:

4. Bereken de incidentenergie (IE). De incidentenergie is de hoeveelheid warmte-energie die vrijkomt bij een vlamboog op een bepaalde afstand van het werkpunt:
De incidentenergie bepaalt of er kans is op brandwonden, hoe ernstig die brandwonden kunnen zijn en welke persoonlijke beschermingsmiddelen (PBM’s) nodig zijn. Een veel gebruikte grenswaarde is 1,2 cal/cm^2. Boven deze waarde kan onbeschermde huid van een persoon een tweedegraads brandwond oplopen.
Hoe hoger de spanning, stroom of foutduur, hoe hoger de incidentenergie. Hoe groter de afstand, hoe lager de incidentenergie.
Vlamboogberekening: berekenen van de incidentenergie (2):
In de vorige berekening bedroeg de werkafstand 50 cm. In dit rekenvoorbeeld is de werkafstand verkleind tot 10 cm en wordt opnieuw de incidentenergie berekend.
| Gegevens: | |
|---|---|
| Capaciteit | 5000 mAh |
| Nominale spanning cel | 3,6 volt |
| Spanning volledig geladen cel | 4,0 volt |
| Inwendige weerstand cel | 0,02 ohm |
| Cellen in serie | 200 cellen |
| Cellen parallel | 20 |
| Serviceplug | Deelt de batterij in tweeën (daarom factor 0,5) |
| Tarc | 2,0 seconden |
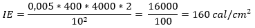
| D | 10 cm |
| Symbolen en betekenissen: | |
|---|---|
| Ibf | Botte kortsluitstroom in A |
| Iarc | Vlamboogstroom in A (Iarc = 0,5 * Ibf) |
| IE | Vlamboogenergie op werkafstand in cal/cm^2 |
| Vsys | Systeemspanning in V |
| Tarc | Vlamboogduur in s |
| D | Werkafstand in cm |
De Vsys, Icel en Ibf wijzigen niet, omdat de batterijgegevens hetzelfde zijn. De werkafstand vullen we in de formule van de incidentenergie in:
De incidentenergie is omgekeerd evenredig met het kwadraat van de afstand tot de vlamboog. Dat betekent dat wanneer de werkafstand kleiner wordt, de energie per vierkante centimeter sterk toeneemt. Als de afstand van 50 cm naar 10 cm gaat (vijf keer kleiner), wordt de incidentenergie 25 keer zo groot (van 6,4 naar 160 cal/cm^2).
Vlamboogberekening: berekenen van een veilige werkafstand:
Wanneer de incidentenergie maximaal 1,2 cal/cm² mag bedragen, kan de minimale veilige werkafstand worden berekend. Dit doen we met de gegevens in de onderstaande tabel. De eerste drie berekeningen (Vsys, Icel, Ibf) blijven hetzelfde, alleen zijn de gegevens anders. Bij berekening 4 wordt de werkafstand D bepaald met de bekende IE.
| Gegevens: | |
|---|---|
| Capaciteit | 4500 mAh |
| Nominale spanning cel | 3,6 volt |
| Spanning volledig geladen cel | 4,0 volt |
| Inwendige weerstand cel | 0,01 ohm |
| Cellen in serie | 100 cellen |
| Cellen parallel | 10 |
| Serviceplug | Deelt de batterij in tweeën (daarom factor 0,5) |
| Tarc | 2,0 seconden |
| IE | 1,2 cal/cm^2 |
| Symbolen en betekenissen: | |
|---|---|
| Ibf | Botte kortsluitstroom in A |
| Iarc | Vlamboogstroom in A (Iarc = 0,5 * Ibf) |
| IE | Vlamboogenergie op werkafstand in cal/cm^2 |
| Vsys | Systeemspanning in V |
| Tarc | Vlamboogduur in s |
| D | Werkafstand in cm |
1. Bereken de systeemspanning (Vsys):

2. Bereken de kortsluitstroom per cel (Icel):
3. Bereken de botte kortsluitstroom (Ibf):

4. Bereken de werkafstand D. De waarde 1,2 cal/cm² wordt vaak gebruikt als grens waarbij onbeschermde huid een tweedegraads brandwond kan oplopen. Door deze grenswaarde voor de incidentenergie (IE) in de noemer van de formule in te vullen, kan de afstand worden bepaald waarbij de energie niet hoger wordt dan deze veilige waarde.


Gerelateerde pagina’s: